Multi-Sensory Balance Board for Children with SPD & ADHD Disorders
Source : https://jbpe.sums.ac.ir/article_47955.html
Document Type : Technical Note Authors 1 MSc, Department of Mechanics & Mechatronics Engineering, Sharif University of Technology (Kish Campus), Kish, Iran 2 PhD, Department of Mechanics & Mechatronics Engineering,...
"The multi-sensory balance board is designed and developed to help medics diagnose the disorders in patients at early stages and monitor the treatment progress. The balance board uses multiple sensors to detect common human senses, visual, auditory, balance, and tactile sensing.
Due to the safety issues for children during the COVID-19...
We demonstrated that neural and behavioral covariates associated with emotion regulation affect the course of ADHD severity throughout adolescence and early adulthood.
Large-scale genetic investigation reveals genetic liability to multiple complex traits influencing a higher risk of ADHD - Scientific Reports
Source : https://www.nature.com/articles/s41598-021-01517-7
Attention Deficit-Hyperactivity Disorder (ADHD) is a complex psychiatric and neurodevelopmental disorder that develops during childhood and spans into adulthood. ADHD's aetiology is complex, and evidence about its cause and risk...
Our results reveal that genetic variants associated with iron deficiency anemia (ICD10), obesity, type 2 diabetes, synovitis and tenosynovitis (ICD10), polyarthritis (ICD10), neck or shoulder pain, and substance use in adults display partial genetic causality on ADHD risk in children. Genetic variants associated with ADHD have a partial genetic...
The Role of Iron and Zinc in the Treatment of ADHD among Children and Adolescents: A Systematic Review of Randomized Clinical Trials
Source : https://www.mdpi.com/2072-6643/13/11/4059
Attention-deficit/hyperactivity disorder (ADHD) is a neurodevelopmental disorder common from childhood to adulthood, affecting 5% to 12% among the general population in developed countries. Potential etiological factors have been identified, including...
Conclusion: Nine studies met the eligibility criteria and were selected. Evidence was obtained regarding the contribution of iron-zinc supplementation in the treatment of ADHD among young individuals. The discussion was focused on how the deficits of these elements contribute to affectation on multiple ADHD correlates, and potential mechanisms...
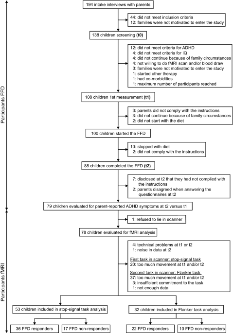
Correlation between brain function and ADHD symptom changes in children with ADHD following a few-foods diet: an open-label intervention trial - Scientific Reports
Source : https://www.nature.com/articles/s41598-021-01684-7
Research into the effect of nutrition on attention-deficit hyperactivity disorder (ADHD) in children has shown that the few-foods diet (FFD) substantially decreases ADHD symptoms in 60% of children. However, the...
These results provide evidence for a neurocognitive mechanism underlying the efficacy of a few-foods diet in children with ADHD.
