Integrating Long-Acting Injectable Treatment to Improve Medication Adherence Among Persons Living With HIV and Opioid Use Disorder: Study Protocol
Source : https://ascpjournal.biomedcentral.com/articles/10.1186/s13722-023-00418-6
Oral antiretroviral therapy (ART) has been effective at reducing mortality rates of people with HIV. However, despite its effectiveness, people who use drugs face barriers to maintaining ART adherence. Receipt...
This work has the potential to improve the treatment and prevention of HIV infection among a population where substance use is a significant contributing factor, by integrating treatment for opioid use disorder and HIV infection.
Second-generation integrase strand transfer inhibitor-based first-line antiretroviral therapy for most people living with HIV is also applicable to those harboring E157Q.
Clinical Trials Aimed at HIV Cure or Remission: New Pathways and Lessons Learned
Source : https://pubmed.ncbi.nlm.nih.gov/37856845/
The landscape of clinical trials for HIV cure and remission has evolved considerably over the past 10 years.
Pharmaceutical agents aimed at enhancing the function of immune effector cells or sensitizing latently infected cells to undergo apoptosis could be important adjuvant therapies in future HIV cure strategies.
Tolerability of Bictegravir/Tenofovir Alafenamide/Emtricitabine Versus Dolutegravir/Lamivudine as Maintenance Therapy in a Real-Life Setting
Source : https://academic.oup.com/jac/advance-article-abstract/doi/10.1093/jac/dkad338/7329255
While both the burden of therapy and the individual drugs in bictegravir/tenofovir alafenamide/emtricitabine (BIC/TAF/FTC) and dolutegravir...
Switching to dolutegravir/lamivudine or bictegravir/tenofovir alafenamide/emtricitabine showed no difference in risks of overall or toxicity-related discontinuations or in the profile of adverse events leading to discontinuation.
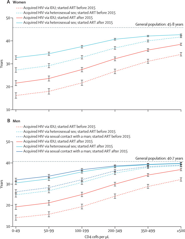
Life expectancy after 2015 of adults with HIV on long-term antiretroviral therapy in Europe and North America: a collaborative analysis of cohort studies
Source : https://www.thelancet.com/journals/lanhiv/article/PIIS2352-3018(23)00028-0/fulltext
For people with HIV on ART and with high CD4 cell counts who survived to 2015 or started ART after 2015, life expectancy was only a few years lower than...
Interpretation: For people with HIV on ART and with high CD4 cell counts who survived to 2015 or started ART after 2015, life expectancy was only a few years lower than that in the general population, irrespective of when ART was started. However, for people with low CD4 counts at the start of follow-up, life-expectancy estimates were...
