Monoclonal anti-CGRP antibodies in post-menopausal women: a real-life study - Acta Neurologica Belgica
Source : https://link.springer.com/article/10.1007/s13760-023-02190-5
Introduction Migraine usually ameliorates after menopause. However, 10-29% of women still experience migraine attacks after menopause, especially if menopause is surgical. The use of monoclonal antibodies against the calcitonin gene-related...
Discussion: The effectiveness of anti-CGRP monoclonal antibodies is almost the same between women in menopause and women of childbearing age, without appreciable differences between the different antibodies.
Factors underpinning an improved menopausal experience in the workplace for doctors: a UK-based qualitative study
Source : https://bmjopen.bmj.com/content/13/3/e060265?rss=1
Objectives A recent British Medical Association survey revealed that very few National Health Service (NHS) doctors felt comfortable discussing symptoms with their managers, and many feel unable to make changes...
Conclusion: This study highlights that doctors’ factors underpinning an IME in the workplace are comparable to other sectors. The potential benefits of an IME for doctors in the NHS are considerable. NHS leaders can address these challenges by using pre-existing training materials and resources for their employees if menopausal doctors are...
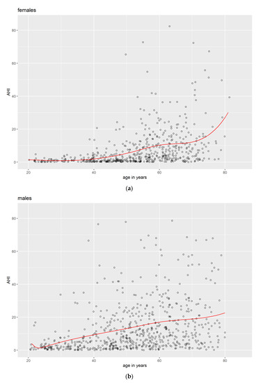
Menopause Is Associated with Obstructive Sleep Apnea in a Population-Based Sample from Mecklenburg-Western Pomerania, Germany
Source : https://www.mdpi.com/2077-0383/12/6/2101/htm
Objective: Menopause is associated with multiple health risks. In several studies, a higher incidence or a higher risk for obstructive sleep apnea (OSA) in post-menopausal than pre-menopausal women is reported....
Conclusion: In our current study, we were able to replicate the findings of two other population-based studies confirming a higher OSA risk in post-menopausal women. We expanded these findings by visualizing this effect using splines. While our study cannot contribute to disentangling the (most likely) hormonal mechanism causing this effect, it...
Anti-Müllerian Hormone Level Decline in Patients Undergoing Hysterectomy With and Without Oophorectomy Compared With Natural Menopause
derwent hysterectomy (159 with bilateral salpingo-oophorectomy [BSO], 13 with one ovary conserved, and 60 with both ovaries conserved) and who had serial AMH measurements were included from SWAN (The Study...
Hysterectomy does not lead to a more rapid decline in AMH levels postoperatively compared with natural menopause. Patients undergoing BSO have a rapid loss of AMH, consistent with complete removal of the ovaries. These data suggest that hysterectomy as currently performed does not compromise ovarian reserve.
Economic Evaluation of Four Treatment Strategies for Postmenopausal Patientswith Osteoporosis and a Recent Fracture in Mainland China: A Cost-Effectiveness Analysis
Source : https://papers.ssrn.com/sol3/papers.cfm?abstract_id=4343743
Preprints with The Lancet is part of SSRN´s First Look, a place where journals identify content of interest prior to publication. Authors have opted in at submission to The Lancet...
Discussion: Stratified treatment based on very high fracture risk is more cost-effective than conventional pills in mainland China. Among the stratified treatments, zoledronate is the optimal option. Would this be similar in the USA?
