Elevated circulating follistatin associates with an increased risk of type 2 diabetes - Nature Communications
Source : https://www.nature.com/articles/s41467-021-26536-w
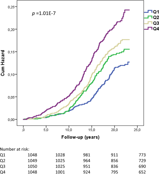
Follistatin promotes in type 2 diabetes (T2D) pathogenesis in model animals and is elevated in patients with T2D. Here the authors report that plasma follistatin associates with increased risk of...
Our findings suggest that GCKR regulates follistatin secretion and that elevated circulating follistatin associates with an increased risk of T2D by inducing adipose tissue insulin resistance.
Clinical Implications of MiR128, Angiotensin I Converting Enzyme and Vascular Endothelial Growth Factor Gene Abnormalities and Their Association with T2D
Source : https://www.mdpi.com/1467-3045/43/3/130
Type 2 DM (T2D) results from the interaction of the genetic and environmental risk factors. Vascular endothelial growth factor (VEGF), angiotensin I-converting enzyme (ACE), and MicroRNAs (MiRNAs) are involved in...
We conclude that the VEGF (rs699947), VEGF I/D and Mir128a (rs11888095) are potential risk loci for T2D, and that the D allele of the ACE ID polymorphism may be protective against T2D. These results help in identification and stratification for the individuals that at risk for T2D. However, future well-designed studies in different populations...
The role of circulating galectin-1 in type 2 diabetes and chronic kidney disease: evidence from cross-sectional, longitudinal and Mendelian randomisation analyses - Diabetologia
Source : https://link.springer.com/article/10.1007/s00125-021-05594-1
Aims/hypothesis Galectin-1 modulates inflammation and angiogenesis, and cross-sectional studies indicate that galectin-1 may be a uniting factor between obesity, type 2 diabetes and kidney function. We examined whether circulating galectin-1...
Conclusions/Interpretation: The role of circulating galectin-1 in type 2 diabetes and chronic kidney disease: evidence from cross-sectional, longitudinal and Mendelian randomisation analyses
-
Type 2 Diabetes Connect4yrKey Points • Source: Diabetologia • Conclusion/Relevance: “Galectin-1 is strongly associated with lower kidney function in cross-sectional analyses, and two-sample MR [Mendelian randomization] analyses suggest a causal protective effect on kidney function among individuals Show More
Combination of disease duration-to-age at diagnosis and hemoglobin A1c-to-serum C-peptide reactivity ratios predicts patient response to glucose-lowering medication in type 2 diabetes: A retrospective cohort study across Japan (JDDM59) - PubMed
Source : https://pubmed.ncbi.nlm.nih.gov/33837666/
1 Diabetes Center, Chiba Central Medical Center, Chiba, Japan. 2 Department of Preventive Medicine and Public Health, Keio University School of Medicine Graduate School of Medicine, Tokyo, Japan. 3 Kawai...
Conclusions: The combination of disease duration-to-age at diagnosis and HbA1c-to-CPR ratios is a collective risk factor that predicts response to the medications.
Relationships of Changes in Physical Activity and Sedentary Behavior With Changes in Physical Fitness and Cardiometabolic Risk Profile in Individuals With Type 2 Diabetes: The Italian Diabetes and Exercise Study 2 (IDES_2) - PubMed
Source : https://pubmed.ncbi.nlm.nih.gov/34728529/
Objective: In the Italian Diabetes and Exercise Study_2 (IDES_2), behavioral counseling promoted a sustained increase in physical activity (PA) volume (+3.3 MET h ⋅ week-1), moderate- to vigorous-intensity PA (MVPA)...
Conclusions: Even modest increments in MVPA may have a clinically meaningful impact, and reallocating SED-time to LPA may also contribute to improved outcomes, possibly by increasing total energy expenditure.
