Efficacy and Safety of PRC-063 for Attention-Deficit/Hyperactivity Disorder: A Systematic Review and Meta-analysis From Randomized Controlled Trials - PubMed
Source : https://pubmed.ncbi.nlm.nih.gov/36794817/
The .gov means it's official. Federal government websites often end in .gov or .mil. Before sharing sensitive information, make sure you're on a federal government site. The site is secure....
Conclusion: PRC-063 is an efficacious and safe treatment for ADHD, especially in children and adolescents.
Is S100B Involved in Attention-Deficit/Hyperactivity Disorder (ADHD)? Comparisons with Controls and Changes Following a Triple Therapy Containing Methylphenidate, Melatonin and ω-3 PUFAs
Source : https://www.mdpi.com/2072-6643/15/3/712
Background: Increasing evidence supports a neuroinflammatory basis in ADHD damaging glial function and thereby altering dopaminergic (DA) neurotransmission. Previous studies focusing on the S100B protein as a marker of glial...
Conclusions: Our study revealed significantly higher peripheral S100B levels in patients with ADHD compared to controls, strengthening the hypothesis of glial damage within the mechanisms preceding the catecholaminergic disruption responsible for this disorder. Therapeutic administration of MPH, aMT, and ω-3 PUFAs was followed by a paradoxical...
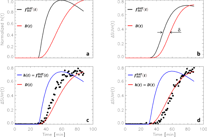
Time-varying SUVr reflects the dynamics of dopamine increases during methylphenidate challenges in humans - Communications Biology
Source : https://www.nature.com/articles/s42003-023-04545-3
Dopamine facilitates cognition and is implicated in reward processing. Methylphenidate, a dopamine transporter blocker widely used to treat attention-deficit/hyperactivity disorder, can have rewarding and addictive effects if injected. Since methylphenidate's...
Conclusions/Relevance: Here we show that the dopamine increase induced by intravenous methylphenidate (0.25 mg/kg) in the striatum is significantly faster than that by oral methylphenidate (60 mg), and its time-to-peak is strongly associated with the intensity of the self-report of “high”. We show for the first time that the “high”...
Data-Driven Assessment of Adolescents' Mental Health During the COVID-19 Pandemic - PubMed
Source : https://pubmed.ncbi.nlm.nih.gov/36764609/
The .gov means it's official. Federal government websites often end in .gov or .mil. Before sharing sensitive information, make sure you're on a federal government site. The site is secure....
Conclusions/Relevance: This real-world study highlights the deterioration of adolescents’ mental health during the COVID-19 pandemic and suggests that youth mental health should be considered during health policy decision making.
Remote assessment of ADHD in children and adolescents: recommendations from the European ADHD Guidelines Group following the clinical experience during the COVID-19 pandemic - European Child & Adolescent Psychiatry
Source : https://link.springer.com/article/10.1007/s00787-023-02148-1
The COVID-19 pandemic led ADHD services to modify the clinical practice to reduce in-person contact as much as possible to minimise viral spread. This had far-reaching effects on day-to-day clinical...
Relevance: While remote assessments are valuable in allowing clinical services to continue despite restrictions and may have benefits for routine care in the post-pandemic world, particular attention must be paid to those who may be at high risk but not be able to use/access remote technologies and prioritize these groups for conventional...
